近日,bevictor伟德官网杨晓兵副教授团队在著名生物技术学术期刊《Biotechnology Advances》(IF=10.744)发表了题为 “Microbial production of limonene and its derivatives: Achievements and perspectives” 的综述文章,系统总结了近年来利用代谢工程和合成生物学策略合成柠檬烯及其衍生物研究进展。伟德bv1946为第一署名单位,中科院大连化学物理研究所为合作单位;16级本科生任毓瑶和18级博士研究生刘洒洒为共同第一作者,公司杨晓兵副教授与大连化物所周雍进研究员为共同通讯作者,公司靳国杰副教授参与了该综述的撰写工作。《Biotechnology Advances》是生物技术领域顶级国际期刊,在105种应用微生物与生物技术相关的杂志中排名第3,该杂志全年收录文章在100篇左右,2019年H指数161。

葡萄与葡萄酒中单萜类化合物能够赋予葡萄与葡萄酒浓郁独特的芳香,如玫瑰、桂花、凤梨及蜂蜜等香味。柠檬烯是葡萄与葡萄酒中天然存在的具有代表性的单帖香气物质之一,在微生物作用下能够衍生出数十种单萜类化合物。阐释柠檬烯生物合成途径及衍生化过程有助于理解葡萄与葡萄酒萜烯类香气物质的形成机制,为利用代谢工程进行葡萄育种研究,以及采用工程菌调控葡萄酒品种香气物质组成开展前瞻性研究提供理论依据。此外,利用合成生物学和代谢工程策略构建高效柠檬烯及其衍生物微生物细胞工厂能够为葡萄园废弃物高值化再利用,实现葡萄酒产业提质增效提供新思路。

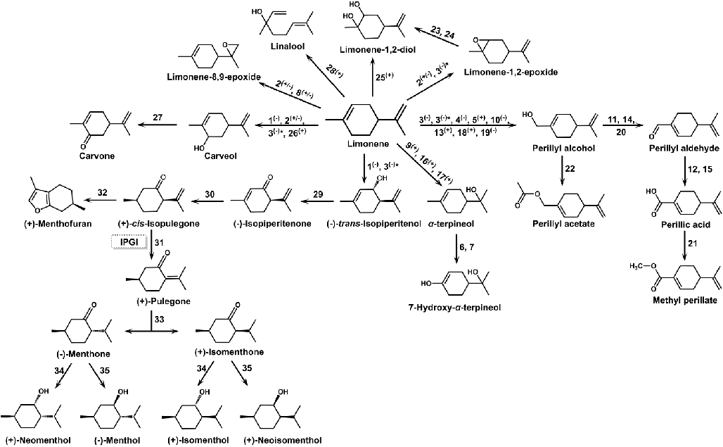
图 1柠檬烯衍生物合成
杨晓兵副教授团队长期致力于利用代谢工程和合成生物学策略构建高价值化合物细胞工厂的研究工作。目前,已利用代谢工程策略成功改造圆红冬孢酵母(Rhodosporidium toruloides)构建了柠檬烯等单帖化合物、羟基化脂肪酸、氨基酸衍生物的细胞工厂,其中柠檬烯微生物合成相关研究工作获得陕西省面上基金(2020JM177)、学校科研启动基金、国家级科创等支持,指导2016本科生任毓瑶毕业论文获得校级毕业论文。该综述介绍了微生物合成柠檬烯及其衍生物面临的机遇与挑战,详细阐述了异戊二烯途径多样性、代谢路径关键酶的发掘与表征、宿主细胞代谢路径的理性调控、辅因子平衡、柠檬烯及其衍生物生物毒性的解除及提升宿主微生物鲁棒性的策略等内容。本综述详尽讨论了大肠杆菌、酿酒酵母、蓝细菌和产油酵母等生产平台菌株的优势与不足,为系统地理性改造微生物代谢网络构建单帖细胞工厂提供了科学参考。

图 2 柠檬烯微生物合成
原文链接:https://www.sciencedirect.com/science/article/pii/S0734975020301300